This long-read article was written by sixth-former Salvatore Nigrelli.
Estimated read time: 9 minutes
Few molecules can be said to have completely transformed our understanding of science. Zeise’s salt (potassium trichloro(ethylene)platinate(II)), however, is one of these few.
Yellow crystals of Zeise’s salt were first isolated in 1827 by William Christopher Zeise, a Danish pharmacologist working at the University of Copenhagen. Upon stoichiometric analysis, Zeise concluded that the salt consisted of platinum and ethene, making it the first organometallic compound ever to be discovered. But, unbeknownst to Zeise, these pretty little crystals were about to revolutionise chemistry.
As news spread through the scientific community about Zeise’s discovery of the first organometallic compound, scientists from across the world rushed to try and synthesise more. In the years that followed, a plethora of weird and wonderful organometallic molecules were discovered, from cisplatin in 1845 to diethyl zinc in 1848. A new field of chemistry had been born. Since then, organometallic compounds have revolutionised a whole variety of different fields from polymers and plastics to medicine. In fact, it is now believed that Zeise’s salt could be the next big breakthrough in the battle against cancer.
The more that it was analysed, the more the question of the bonding in Zeise’s salt baffled chemists. No one could come up with an explanation of its bonding that agreed with its molecular formula. The answer finally came in the 1950s, more than 120 years after Zeise’s salt was first discovered, and it required the invention of a completely new theory of bonding that shook the world of theoretical chemistry and transformed the way that we think about molecules. Not bad for a few yellow crystals produced in a pharmacologist’s lab in Copenhagen.
Synthesis
Zeise’s original 1830 paper was entitled:
‘De chloride platinae et alcohole vini sese invicem permutabilis nec non de novis substantiis inde oviundis’
(The reaction between platinous chloride and wine alcohol and on the new substances arising therefrom)
In this paper, he laid out a method for producing Zeise’s salt by reacting platinum (IV) chloride with ethanol. Although the precise reaction was unknown at the time, it is now known to be:
[PtCl6]2- + 2C2H5OH
[PtCl3(C2H4)]– + 3Cl– + H2O + CH3COH + 2H+
When the potassium salt of [PtCl6]2- is used, upon evaporation of excess ethanol, yellow crystals of KPtCl3(C2H4) form. It is these crystals that are called Zeise’s salt.
This reaction is an example of a redox reaction; the platinum (IV) in [PtCl6]2- is reduced to platinum (II) in [PtCl3(C2H4)]– and ethanol (the reducing agent) is oxidised to form an aldehyde – ethanal in this case.
However, surprisingly, almost immediately after the publication of his first paper, Zeise published a second paper outlining a much more effective synthesis of his newly discovered salt that gave a much higher yield.
The reaction involved reacting platinum (II) chloride with ethanol:
[PtCl4]2- + C2H5OH
[PtCl3(C2H4)]– + Cl– + H2O
Unlike the original reaction, this is not a redox reaction – the platinum atom is in the same oxidation state in [PtCl4]2- and [PtCl3(C2H4)]– – which suggests that there is a much more complicated mechanism underpinning this reaction.
There is no literature on the mechanism for this reaction, so the following mechanism is one that I have devised which I think is the most appropriate way of representing the actual reaction that is occurring:
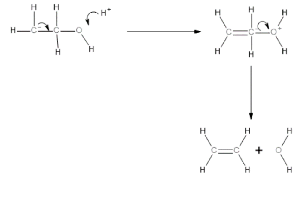
The first stage of this reaction is the dehydration of ethanol into ethene. Such a step is possible due to a combination of energy input (the reaction is carried out at 170°C) and the action of the filled dyz orbital in the platinum atom of [PtCl4]2-.
The filled dyz orbital of the platinum atom provides an area of high electron density and so exerts an attractive force on one of the hydrogen atoms in ethanol, thereby weakening the C-H bond. The high temperature means that the ethanol molecules have high kinetic energies, so when they collide, enough energy is transferred to break this weakened C-H bond heterolytically, forming a H+ ion and a carbanion [scheme 1].

Scheme 1 The mechanism for the breaking one of ethanol’s C-H bonds to produce a carbanion.
Then, a H+ ion produced in scheme 1 bonds with one of the lone pairs on the oxygen atom, forming a H2O group (which is a good leaving group). The lone pair on the carbanion then forms a bond between the two carbon atoms, creating a double bond; however, carbon atoms cannot have more than four bonds, so the C-O bond breaks and the H2O leaving group is released, forming ethene and water [scheme 2].

Scheme 2 The mechanism for the formation of ethene and water from the carbanion.
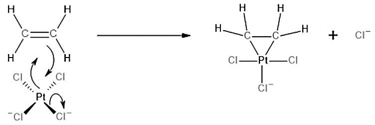
The second stage of this reaction is the substitution of one of the chloride ions in [PtCl4]2- for ethene. This is possible because the two Cl– ions in [PtCl4]2- are ligands, i.e. bonded to Pt by a coordination complex, which makes them easy to remove in ligand substitution reactions.
[PtCl4]2- consists of two chlorine atoms and two Cl– ligands bonded to a platinum atom. Due to the large difference in electronegativity between chlorine and platinum, the Pt-Cl bond is very polar, giving the platinum atom a δ+ charge. The double bond in ethene is an area of very high electron density and therefore acts as a nucleophile and is attracted to the δ+ charge on the platinum atom. The double bond in ethene then forms a coordination complex with the platinum atom forcing one of the Pt-Cl– coordination complexes to break, yielding [PtCl3(C2H4)]– and Cl– [scheme 3].

Scheme 3 The mechanism for the formation of [PtCl3(C2H4)]–.
There is a large yield of metallic platinum from this method of synthesising Zeise’s salt. This is due to a redox reaction that also occurs in which ethanol reduces [PtCl4]2- to platinum metal and is itself oxidised to ethanal:
[PtCl4]2-+ C2H5OH
Pt + CH3COH + 4H+ + 4Cl–
This secondary reaction provides evidence for the mechanism that I have suggested because it shows that [PtCl4]2- plays a minimal role in the dehydration of ethanol to ethene because otherwise it would react in a redox reaction with ethanol rather than dehydrating it.
Infrared Spectral Analysis
Before considering the bonding in Zeise’s salt, we must first show that the platinum-ethene interaction in the molecule is in fact a bond and not simply a strong intermolecular force. The way that I will prove this is using the infrared (IR) spectra of Zeise’s salt and the reactants used to synthesise it. My logic behind this method is as follows: IR spectra show the different bonds present within substances – intermolecular forces of attraction do not show up on IR spectra
– therefore, if there is a peak present in the IR spectrum of Zeise’s salt that is not present in any of the spectra of the reactants, such a peak must be due to a bond that is not present in any of the reactants but is present in Zeise’s salt. The only bond in Zeise’s salt not present in any of its reactants is the platinum-ethene interaction. Therefore if such an inexplicable peak shows up on the IR spectrum, it shows that the platinum-ethene interaction is in fact a bond and not any other type of interaction.
The IR spectrum for Zeise’s salt in its crystalline hydrate form, which also contains waters of crystallisation, is:

(AIST spectral database)
Through the process of peak labelling by comparing this spectrum with the IR spectra of ethene, K2PtCl4, and waters of crystallisation (obtained from the IR spectrum for gypsum), it is now possible to determine if there are any unexplained peaks:
- Peak A is due to the O-H bonds in the waters of crystallisation stretching.
- Peak B is due to the merging of the peaks due to the Pt-Cl bonds stretching and the C-H bonds stretching.
- Peak C is a weak signal that is due to the C-H bonds bending.
- Peak D is due to the O-H bonds in the waters of crystallisation bending.
- Peak E is due to the C=C double bond stretching (this is shifted right by around 150 cm-1 from the corresponding peak in the IR spectrum of ethene because of the interaction between the platinum atom and the double bond).
- Peak F is due to the Pt-Cl– bond stretching.
- Peak G is due to the C=C double bond bending.
- Peak H is a weak signal due to the Pt-Cl bonds bending.
- Peak I is a weak signal due to the Pt-Cl– bond bending.
- Peak J is an unexplained peak.
Since there is an unexplained peak on the spectrum, this shows that the platinum-ethene interaction is in fact a bond rather than an intermolecular force. In fact, 406 cm-1 (the wavenumber of the unexplained peak) corresponds exactly with the universally accepted wavenumber for the platinum-ethene bond (Grogan & Nakamoto, 1966).
Bonding
The bonding in Zeise’s salt is a problem that puzzled chemists for over a hundred years after it was first discovered. In many representations, the platinum atom appears (incorrectly) to be bonded directly to the C=C double bond rather than to any particular atom.
To solve this problem, three chemists: Michael Dewar, Joseph Chatt, and L.A. Duncanson created a revolutionary new theory of bonding for transition metals, which is now known as the Dewar-Chatt-Duncanson (DCD) theory of bonding in their honour.
At the crux of the DCD theory of bonding is the action of both filled and empty d orbitals in the outer shells of transition metal atoms, which interact with bonding and antibonding orbitals of other atoms.
This is exactly what occurs in Zeise’s salt in a process called η2 bonding. The vacant dx2-y2 orbital receives electron density from the σ bonding orbital component of the C=C double bond in a process called σ donation. This creates a σ bonding orbital between the platinum atom and the two carbon atoms [scheme 4].

Scheme 4 σ donation between the σ component of the C=C double bond and the vacant dx2– y2 orbital of the platinum atom (black and white represent opposite phases of the orbitals).
The filled dyz orbital then donates electron density to the vacant π* antibonding orbital component of the C=C double bond in a process called π acceptance [scheme 5]. This creates a π backbond between the platinum atom and the two carbon atoms. Since an antibonding orbital is being filled, this weakens the C=C double bond, causing it to lengthen and its vibrational energy to lower – which is why the peak corresponding to the C=C double bond stretching is shifted to a lower wavenumber on the IR spectrum of Zeise’s salt compared with that of ethene.

Scheme 5 π acceptance between the filled dyz orbital of the platinum atom and the vacant π* orbital component of the C=C double bond.
This weakening of the C=C double bond due to the filling of the π* antibonding orbital also causes the molecular orbital to rehybridise from sp2 to sp3, which changes the molecular geometries around the carbon atoms from trigonal planar to tetrahedral. This causes the hydrogen atoms to move and face away from the incoming PtCl3 group (as shown in scheme 5).
The bonding in Zeise’s salt is further complicated by a phenomenon known as the trans effect, which is that for molecules with square planar geometries, like Zeise’s salt, certain groups will remove electron density from, and thereby weaken the bonding of, the group trans (opposite) to them. This occurs in Zeise’s salt because the very electronegative Cl– group opposite the ethene group removes electron density from the platinum-ethene bond causing it to weaken and lengthen – the platinum-ethene bond length in Zeise’s salt is 2.340 Å, while the Pt-Cl bond length is 2.303 Å.
Once all of these bonding complications are considered, the final molecular geometry of
Zeise’s salt is:

Figure 1 The molecular geometry of Zeise’s salt (University of Boston, Massachusetts).
Importance of Zeise’s Salt
In 2015, it was discovered by researchers at the universities of Berlin and Innsbruck that Zeise’s salt can bind strongly to DNA. Although no full mechanism has been published, shown below is the mechanism that I think best describes the interactions that are occurring based on the reactions of similar compounds (such as cisplatin) and analysis of the proposed interactions involved:
Upon entry into the cell, Zeise’s salt undergoes a ligand substitution reaction. Cl– – as it is a good leaving group – is substituted for a water molecule to produce the dichloroaqua(ethylene)platinate(II) ([PtCl2(H2O)(C2H4)]).

Scheme 6 The mechanism for the ligand substitution stage of the reaction.
Now that there is a H2O ligand bonded to the platinum atom, [PtCl2(H2O)(C2H4)] can form hydrogen bonds with the four nucleobases [scheme 7] once the DNA double helix has been unravelled by DNA helicase at the start of the replication process.

Scheme 7 Hydrogen bonding between [PtCl2(H2O)(C2H4)] and (clockwise from top left) cytosine, adenine, guanine and thymine.
If the bases are hydrogen bonded to [PtCl2(H2O)(C2H4)]–, they cannot hydrogen bond to their complementary base. This means that the DNA double helix cannot reform and so no new DNA can be produced, which kills the cell. When Zeise’s salt is administered to cancerous tissue, by the above mechanism, the cancerous cells are unable to replicate their mutated DNA, which stops the cancer from spreading, and kills the cancerous cells. Although healthy cells suffer the same effects, since cancer cells replicate their DNA at a much higher rate than healthy body cells, the rate of death of cancerous cells is far higher than that of healthy cells.
Conclusion
William Christopher Zeise is one of chemistry’s forgotten heroes. It is amazing how some yellow crystals, made in a dingy laboratory in Copenhagen, have not only forged an entirely new branch of chemistry, but have also revolutionised the theory of chemical bonding. It seems like every time Zeise’s salt is looked at by scientists, it yields something new and important, and with the discovery of its possible use as an anti-cancer drug, it seems likely that Zeise’s salt has a bright future and will play an extremely important role in our society in years to come.
Bibliography
Balacco, G., & Natile, G. (1990). Formation of Platinum-Enamine Complexes by Reaction of Zeise’s salt with Secondary Amines. Journal of the Chemical Society, Dalton Transactions.
Bond, G. (1964). Platinum Metal Salts and Complexes as Homogenous Catalysts. Platinum Metals Review, 92-98.
Grogan, M., & Nakamoto, K. (1966). Infrared Spectra and Normal Coordinate Analysis of Metal-Olefin Complexes. I. Zeise’s Salt Potassium Trichloro(ethylene)platinate(II) Monohydrate. Journal of the American Chemical Society , 5454-5460.
Hunt, L. (1984). The First Organometallic Compounds. Platinum Metals Review, 76-83.
La Salle University. (n.d.). Introduction to Organometallic Chemistry 3. Philadelphia.
Meieranz, S., Stefanopoulou, M., Rubner, G., Bensdorf, K., Kubutat, D., Sheldrick, W. S., & Gust, R. (2015). The Biological Activity of Zeise’s Salt and its Derivatives. Angewandte Chemie, 1-5.
Merck KGaA. (2020). IR Spectrum Table and Chart. Retrieved from Sigma Aldrich Web Site:
Seidl, V., Knop, O., & Falk, M. (1969). Infrared Studies of Water in Crystalline Hydrates:
Gypsum. Canadian Journal of Chemistry , 1361-8.
University of Massachusetts, Boston. (n.d.). Pi bonded ligands . Boston.
